PRIMENA JEDNAČINE PRAVE ZA RAČUNANJE POVRŠINE TROUGLA
Primena koeficijenata jednačine prave za lako računanje površine mnogougla sa temenima na krivoj višeg reda: drugog, trećeg stepena … ne koristeći klasični metod rada.
Oblik jednačine prave kroz dve tačke na krivoj višeg reda, date u članku na sajtu http://www.bastabalkana.com/2015/06/nova-metoda-pisanje-jednacine-prave-na-krivama-viseg-reda/ ,pogodan je za pisanje same prave. Posle definisanja oblika prave omogućen je dalji rad u analitičkoj geometriji. Njeni koeficijenti, u opštem obliku, služe za lako računanje koordinata temena trougla, četvorougla, petougla… sa temenima na krivama drugog, trećeg i višeg stepena. Sve formule su transformisane i prilagođene radu koji zovem:“Metoda rada sa oblicima koeficijenata jednačine prave.“







Dodatne informacije o primeni koeficijenata jednačine prave i svođenje formula na jednodimenzionalni prostor skupa brojeva “x“ ose mogu se videti na blogu
https://gradiuinflaciji.wordpress.com/ ili e-poštom.
maš.inž.Mladen Popović
[email protected]

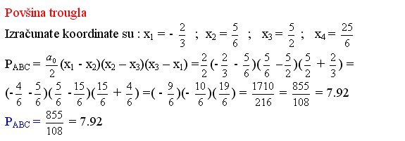
[…] i grafika kvadratne jednačine, koje će biti temena trougla ili četvorougla, dao sam na sajtu http://www.bastabalkana.com/2015/09/primena-jednacine-prave-za-racunanje-povrsine-trougla/ . Radi se o zadatku izračunavanja površine trougla i […]